¿Existe algún método matemático para ganar el Chance o Baloto?
Una persona logró ganar 14 veces, aquí le contamos como lo logró

Hombre que ganó lotería / Imagen de referencia/ Getty Images / Minerva Studio

De acuerdo con la Ley 643 de 2001 del Gestor Normativo, en el Artículo 22, se indica que ambos juegos están autorizados siempre cuando se realicen directamente por intermedio de las Sociedades de Capital Publico Departamental (SCPD) que autoriza y ordena en la presente Ley.
En Colombia, es bastante popular jugar el Chance o el Baloto, puesto que, varias personas al día juegan sus números de la suerte para ganar cierta cantidad de dinero, claro está, que esto depende del monto con el que realizó la apuesta.
Cada juego está supervisado y autorizado por la empresa Industrial y Comercial del Estado Administradora del Monopolio Rentístico de los Juegos de Suerte y Azar (COLJUEGOS), no obstante varias personas han asegurado que más allá de jugar los números de su cumpleaños o fechas conmemorativas, existe una técnica para ganar cualquiera de los dos juegos, aquí le explicamos.
Método matemático fácil para ganar el chance o el Baloto
Más información
Stefan Mandel, hizo historia entre los miles de jugadores que prueban su suerte en los juegos de azar, puesto que, logró ganar la lotería 14 veces, lo que la gente nunca se imaginó es que Mandel, era un matemático.
El método que realizó Mendel, fue analizar todas las combinaciones posibles que podrían suceder en la lotería, un cálculo bastante difícil, puesto que en la lotería se juega con 6 números entre las 1 al 40, lo que dejaba 3.838.380 de posibilidades, el método matemático para ganar el chance se basa en crear todas las combinaciones de las cifras que se pueden jugar.
Sin embargo, al haber una racha tan amplia para ganar, Mendel hizo este paso a paso, para que su plan de ganar la lotería saliera bien.
- Compro varios billetes de lotería, cabe resaltar que jugó aquellos sorteos donde el premio eran tres veces el número de combinaciones.
- Participo jugándole un euro a lotería que en aquel momento tenía como ganancia diez mil millones de euros. (Puesto que al jugar cada combinación podría tener la posibilidad de ganar el doble de cada juego)
En pocas palabras, Mendel jugó todas las posibilidades posibles que existían al jugar en aquel momento, cabe resaltar que para la época de los 80, que fue donde sucedió, las normas eran diferentes, luego de que el matemático jugará todos los números, se restringió la venta masiva para una persona.
Razón por la que, diferentes sistemas de loterías negaron la compra de todos los billetes de suerte, para que nadie pueda jugar todos los números.
Fórmula para saber todas las combinaciones posibles para ganar el chance
Más información
En la fórmula las personas tiene que representar los números posibles y la cantidad de números con los que se juegan. Se inicia eligiendo dos números de 1 al 5, teniendo en cuenta que estos sea por “suerte” los ganadores.
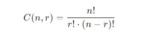
Deberá realizar cálculos factoriales, que se representan de esta forma:
- C(n,r) es el número de combinaciones.
- n! es el factorial de n
- r! es el factorial de r.
- (n−r)! es el factorial de n−r.
Ubique cada valor de la siguiente manera:
Fórmula para ganar el chance // Imagen de referencia
Fórmula para ganar el chance // Imagen de referencia
Siga este paso a paso para realizar la fórmula:
- Determina el total de números disponibles (nnn): Por ejemplo, si el juego permite elegir entre los números del 0 al 9, n=10n = 10n=10.
- Determina cuántos números quieres elegir (rrr): Por ejemplo, si elige 3 números, entonces r=3r = 3r=3.
- Aplica la fórmula: Sustituye los valores de nnn y rrr en la fórmula para calcular el número de combinaciones posibles.




